Từ ngày 22/9 đến 26/9 CSGT TP.HCM ghi hình phạt nguội vi phạm giao thông tại giao lộ Phạm Văn Đồng và đường ngang đường sắt Bắc – Nam.

Trong 2 năm qua, tại giao lộ đường Phạm Văn Đồng (TP.HCM) và đường ngang qua tuyến đường sắt Bắc – Nam đã xảy ra 2 vụ tai nạn giao thông do phương tiện quay đầu, đi vào khu vực cấm. Đội CSGT Hàng Xanh đã tăng cường xử lý vi phạm, đặc biệt là ghi hình phạt nguội để ngăn chặn tình trạng này.
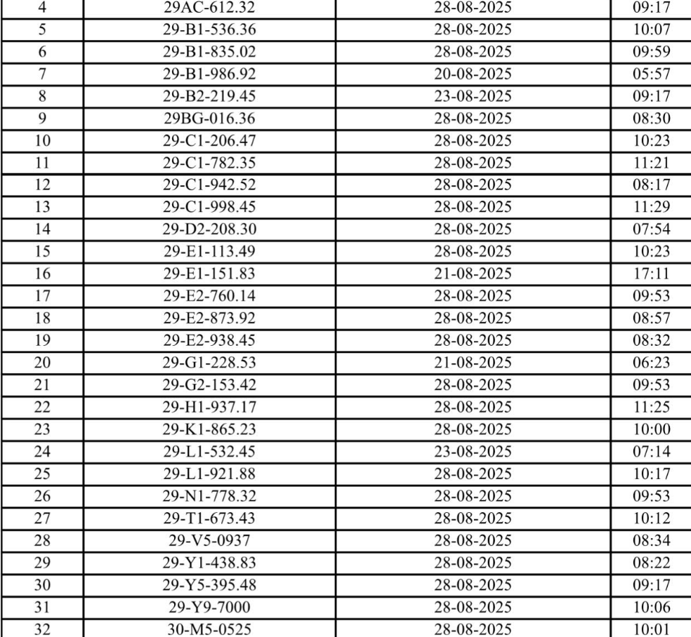
Danh sách 83 phương tiện vi phạm đi vào đường cấm
Từ ngày 22/9 đến 26/9, lực lượng chức năng đã ghi nhận 98 trường hợp vi phạm “Đi vào đường có biển báo hiệu có nội dung cấm đi vào đối với loại phương tiện đang điều khiển”, trong đó có 83 xe được ghi lại rõ biển số. Danh sách cụ thể như sau:


Theo Nghị định 168/2024/NĐ-CP, hành vi này bị phạt từ 2–3 triệu đồng và trừ 2 điểm trên giấy phép lái xe.
Khuyến cáo từ Đội CSGT Hàng Xanh
Các chủ phương tiện có tên trong danh sách vi phạm cần nhanh chóng liên hệ Đội CSGT Hàng Xanh đến làm việc và chấm dứt hành vi vi phạm.
Nếu chậm trễ hoặc cố tình không chấp hành, sẽ bị xử lý nghiêm theo quy định của pháp luật.
Hướng dẫn tra cứu xe vi phạm phạt nguội
Các chủ phương tiện có thể tra cứu thông tin vi phạm và thực hiện nộp phạt theo các cách sau:
Cách 1: Tra cứu trên website chính thức của Cục CSGT
Truy cập tại: https://www.csgt.vn/tra-cuu-phuong-tien-vi-pham.html
Cách 2: Sử dụng ứng dụng “Tra cứu phạt nguội toàn quốc”
- Có mặt trên cả iOS và Android
- Cho phép kiểm tra nhanh bằng biển số xe
Cách 3: Tải ứng dụng VNeTraffic
- Do Bộ Công an phát triển
- Ngoài tra cứu vi phạm còn có thể gửi phản ánh vi phạm giao thông
Cách 4: Tra cứu trực tuyến tại website Check Phạt Nguội
- Truy cập nhanh tại: Check Phạt Nguội
- Cho phép kiểm tra phạt nguội bằng loại xe và biển số
Lời khuyên cho người tham gia giao thông
Để tránh vi phạm và bị xử lý phạt nguội, người dân cần:
- Tuân thủ đèn tín hiệu giao thông
- Không quay đầu, rẽ trái sai nơi quy định
- Không vượt quá tốc độ giới hạn
- Luôn đội mũ bảo hiểm khi điều khiển xe máy
- Chú ý vạch kẻ đường, biển báo và hướng dẫn của CSGT
Bạn nghi ngờ phương tiện của mình vi phạm?
Hãy truy cập ngay: https://checkphatnguoi.com.vn/ để kiểm tra và nộp phạt đúng hạn!





