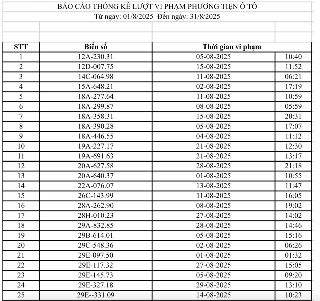
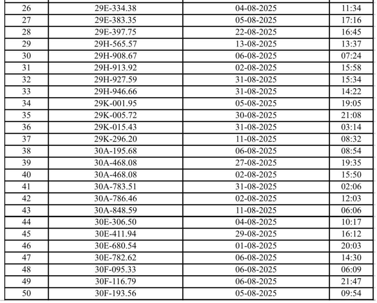
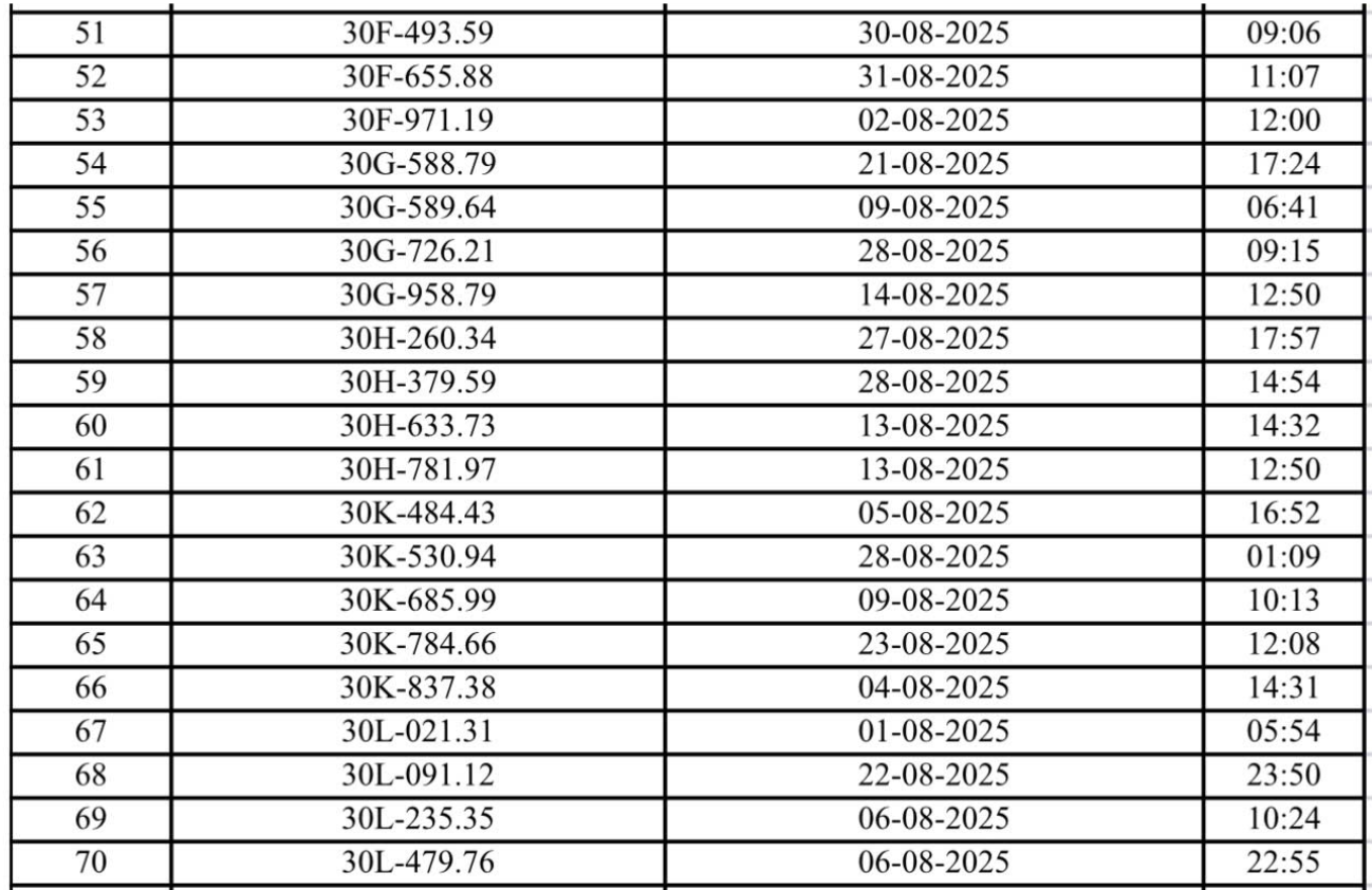
Phòng CSGT Công an TP Hà Nội mới đây đã công bố danh sách phạt nguội tháng 8 gồm 131 trường hợp vi phạm, trong đó có 94 ô tô và 37 xe máy.
Danh sách 131 xe máy, ô tô bị phạt nguội trong tháng 8 ở Hà Nội
Trong tháng 8/2025 (từ ngày 1/8 đến 31/8/2025), thông qua hệ thống camera giám sát giao thông, Phòng CSGT Công an TP Hà Nội đã phát hiện 131 trường hợp phương tiện vi phạm, gồm cả ô tô và mô tô.
Danh sách 94 xe ô tô vi phạm:




Danh sách 37 xe mô tô vi phạm:

Tra cứu phạt nguội
Để tra cứu phương tiện vi phạm, người dân có thể thực hiện theo 4 cách dưới đây:
– Tra cứu trên website chính thức của Cục Cảnh sát Giao thông theo đường link: https://www.csgt.vn/tra-cuu-phuong-tien-vi-pham.html
– Tra cứu phạt nguội online trên website checkphatnguoi.com.vn giúp bạn dễ dàng kiểm tra thông tin vi phạm của các loại phương tiện ô tô, xe máy, xe điện trên toàn quốc, đảm bảo chuẩn xác, nhanh chóng và tiện lợi.
– Tải ứng dụng “Tra cứu phạt nguội toàn quốc” để tra cứu trên điện thoại (ứng dụng hỗ trợ cả 2 hệ điều hành iOS và Android)
– Tải ứng dụng VNeTraffic – ứng dụng giao thông do Bộ Công an quản lý để tra cứu phạt nguội hoặc gửi phản ánh đến cơ quan chức năng.






