Cập nhật danh sách xe vi phạm giao thông mới nhất tại Hà Nội, Bắc Ninh, Thanh Hóa và thông tin phạt nguội chính xác tuần 8-14/9.
Trong tuần từ ngày 8 đến 14/9, lực lượng Cảnh sát Giao thông tại nhiều tỉnh thành đã công bố danh sách các phương tiện vi phạm luật giao thông đường bộ và bị xử lý theo hình thức phạt nguội. Đáng chú ý, có nhiều xe mang biển kiểm soát Hà Nội xuất hiện trong danh sách xử lý.
Hơn 500 phương tiện vi phạm bị xử phạt nguội tại Bắc Ninh
Vào ngày 14/9, Phòng Cảnh sát Giao thông – Công an tỉnh Bắc Ninh đã công bố trên 500 trường hợp vi phạm, được ghi nhận từ ngày 5/9 đến 11/9/2025. Trong đó, 93 phương tiện mang biển số Hà Nội bị xử phạt với các lỗi phổ biến như:
6 trường hợp xe ô tô không chấp hành hiệu lệnh của đèn tín hiệu giao thông: 30E-747.12; 29D-591.38; 29H-513.40; 31H-0120; 29A-156.11; 30A-423.72.
3 trường hợp xe ô tô rẽ trái tại nơi có biển cấm rẽ trái: 30G-583.79; 30L-1186; 29E-220.26.
19 trường hợp xe ô tô không chấp hành hiệu lệnh, chỉ dẫn của vạch kẻ đường: 29C-913.73; 31F-6077; 30M-464.15; 29K-244.05; 29B-302.61; 29H-094.84; 29E-353.75; 30V-2666; 29A-198.05; 29K-040.86; 30A-137.05; 29C-105.10; 29B-158.26; 30A-572.39; 30L-839.62; 29F-051.97; 30F-105.11; 30E-186.41; 29E-034.85.
49 trường hợp xe ô tô điều khiển xe chạy quá tốc độ quy định: 29A-008.48; 29A-949.67; 29B-034.10; 29D-303.33; 29K-013.57; 30A-754.61; 30E-406.27; 30E-417.05; 30F-009.64; 30K-369.66; 30M-0810; 29A-041.56; 29A-429.58; 29D-214.24; 29E-020.38; 29H-124.85; 29H-603.98; 29K-038.98; 29K-080.62; 29K-085.83; 30A-082.56; 30A-355.04; 30A-656.98; 30A-976.74; 30B-555.77; 30E-204.74; 30E-285.43; 30E-356.76;
30F–78728; 30F-876.28; 30G-145.38; 30G-299.83; 30G-802.67; 30H-893.51; 30K-589.58; 30K-6091; 30K-718.22; 30K-789.04; 30K-796.21; 30K-977.89; 30L-910.08; 29D-103.63; 29E-227.87; 29K-152.16; 30F-121.17; 30F-257.05; 30G-926.10; 30K-253.11; 30K-568.18.
14 trường hợp xe mô tô không chấp hành hiệu lệnh của đèn tín hiệu giao thông: 29D2-167.73; 29D1-583.60; 29N1-486.07; 29E2-113.63; 29B1-690.46; 29L5-146.40; 29R5-9540; 29N3-1973; 29V7-237.41; 29N5-6351; 29E1-239.68; 29H9-3690; 29X2-091.47; 29S1-7119.
2 trường hợp xe mô tô không đội mũ bảo hiểm: 29B1-690.46; 29Y3-011.02.
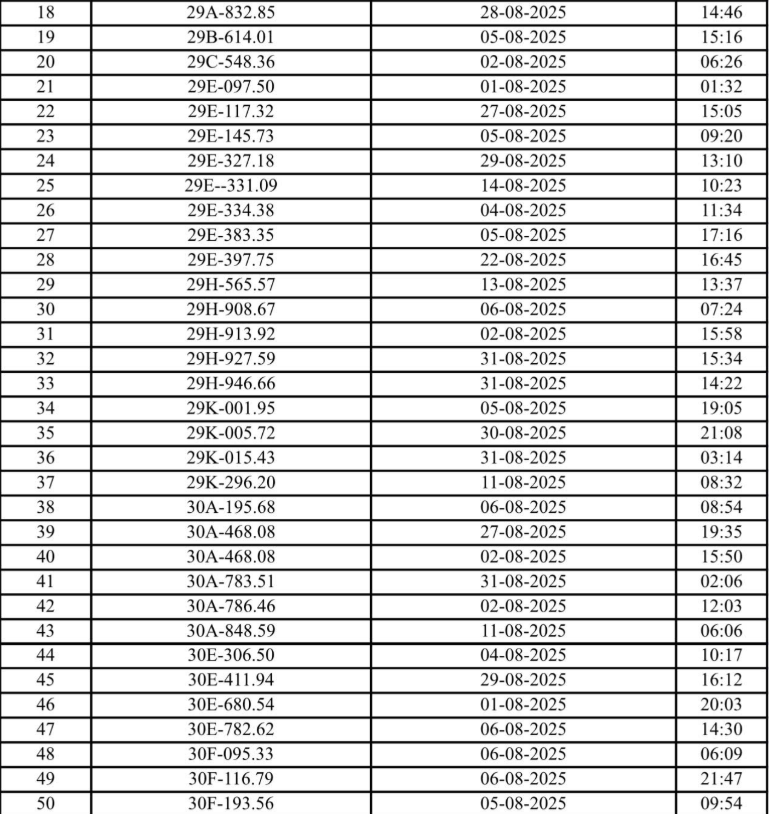
Hà Nội công bố danh sách 131 phương tiện vi phạm trong tháng 8
Ngày 8/9, Phòng CSGT – Công an TP Hà Nội công bố kết quả xử lý vi phạm thông qua thiết bị ghi hình trong tháng 8. Có tổng cộng 131 phương tiện vi phạm, trong đó 94 xe mang biển Hà Nội bị phát hiện vi phạm.
Người dân cần đến 14 địa điểm xử lý vi phạm giao thông trên địa bàn TP Hà Nội để giải quyết các lỗi đã bị ghi hình và thông báo.



Gần 300 xe vi phạm tốc độ tại Thanh Hóa, 47 xe mang biển Hà Nội
Ngày 12/9, Công an tỉnh Thanh Hóa đã thông báo kết quả kiểm tra tốc độ trên các tuyến Quốc lộ 1 và Quốc lộ 45 từ 16/8 đến 31/8/2025. Trong tổng số 298 phương tiện vi phạm, có 47 xe mang biển Hà Nội ghi nhận vi phạm tốc độ, cụ thể:
Trên tuyến Quốc lộ 1, 10 xe biển Hà Nội vi phạm tốc độ như sau: 29H-697.97; 29H-983.72; 30A-290.79; 30F-453.44; 30F-881.26; 30L-536.88; 30V-6158; 30K-593.24; 30H-815.39; 30M-238.38.
Trên tuyến Quốc lộ 45, 37 phương tiện bị phát hiện vượt quá giới hạn tốc độ như sau: 29B-185.85; 29K-225.19; 29G-009.56; 29H-545.23; 29K-124.32; 29A-255.09; 29E-365.92; 29E-377.61; 29K-283.15; 30L-341.75; 30H-263.79; 30H-119.36; 30B-137.90; 30H-906.60; 30H-976.52; 30K-695.99; 30M-1415; 30E-900.08; 30F-907.54; 30L-391.95; 30K-355.80; 30B-101.90; 30K-440.63; 30K-396.29; 30M-320.43; 30L-975.10; 30F-881.26; 30G-191.30; 30L-755.43; 30M-198.03; 30G-666.82; 30F-464.04; 30E-827.43; 30K-626.04; 30L-324.44 (2 lần); 30M-686.98.
Lưu ý quan trọng: Bắt buộc chuyển đổi sang tài khoản giao thông mới trước 1/10/2025
Theo Nghị định 119/2024/NĐ-CP của Chính phủ ban hành ngày 30/9/2024, tất cả chủ phương tiện giao thông đường bộ bắt buộc phải thực hiện chuyển đổi tài khoản thu phí không dừng hiện tại theo Quyết định 19/2020/QĐ-TTg sang tài khoản giao thông mới. Đồng thời, tài khoản này phải được kết nối với phương thức thanh toán không dùng tiền mặt nhằm đảm bảo tính đồng bộ và thuận tiện trong quá trình sử dụng.
Hạn cuối để hoàn tất việc chuyển đổi là ngày 1/10/2025. Sau thời điểm này, các phương tiện chưa thực hiện đúng quy định sẽ không được phép lưu thông qua các trạm thu phí. Chủ phương tiện cần khẩn trương thực hiện để tránh gián đoạn khi tham gia giao thông.
Hướng dẫn tra cứu phạt nguội nhanh chóng, chính xác
Chủ phương tiện cần chủ động kiểm tra định kỳ các thông tin vi phạm phạt nguội thông qua Cổng thông tin của Cảnh sát giao thông theo đường link https://www.csgt.vn/tra-cuu-phuong-tien-vi-pham.html hoặc qua website https://checkphatnguoi.com.vn/ nhằm phát hiện và xử lý kịp thời các lỗi vi phạm nếu có.
Nguồn: Đời sống và Pháp luật






