Phòng Cảnh sát giao thông tỉnh Ninh Bình và Lâm Đồng vừa công bố danh sách các phương tiện vi phạm giao thông, gồm ô tô và xe máy bị xử lý phạt nguội.
Tại Ninh Bình, Phòng Cảnh sát giao thông cho biết từ ngày 4/11/2025 đến 11/11/2025, thông qua hệ thống camera giám sát đã phát hiện 20 trường hợp vi phạm, trong đó có 15 xe không chấp hành hiệu lệnh của đèn tín hiệu giao thông. Danh sách cụ thể:
35A-142.97 (4/11/2025), 90A-393.62 (4/11/2025), 35A-356.97 (5/11/2025), 99A-806.23 (5/11/2025), 90A-109.49 (6/11/2025), 35E-003.65 (8/11/2025), 29A-930.24 (8/11/2025), 38A-578.89 (8/11/2025), 90A-255.26 (8/11/2025), 35H-037.77 (8/11/2025), 35A-240.96 (9/11/2025), 35H-037.78 (9/11/2025), 18A-338.60 (9/11/2025), 90A-038.08 (9/11/2025), 35D-000.78 (9/11/2025).

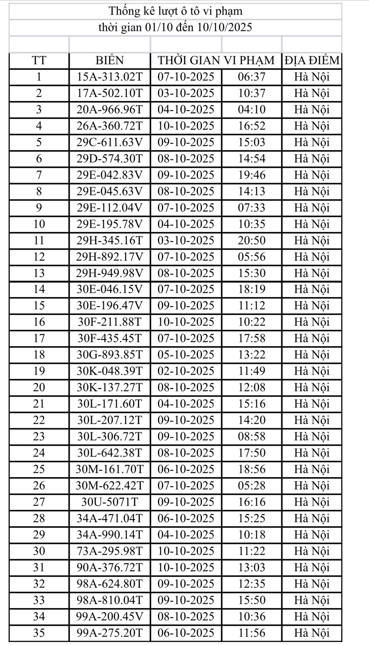
Ngày 14/11, Công an Lâm Đồng cũng công bố danh sách 95 phương tiện vi phạm lỗi vượt đèn đỏ bị xử lý phạt nguội từ ngày 21/9/2025 đến 31/10/2025.
Tổng cộng 110 xe bị phạt nguội ở hai địa phương nằm trong danh sách nên nhanh chóng nộp phạt theo quy định.
Cách tra cứu phạt nguội nhanh chóng, chuẩn xác nhất
Để tra cứu phương tiện vi phạm, người dân truy cập website của Cục Cảnh sát Giao thông tại địa chỉ: https://www.csgt.vn/tra-cuu-phuong-tien-vi-pham.html.
Tại trang này, hãy nhập biển số xe, chọn loại phương tiện và điền mã bảo mật. Cuối cùng, nhấn “Tra cứu” để hệ thống hiển thị kết quả phạt nguội (nếu có).
Ngoài ra, người dân cũng có thể tra cứu phạt nguội qua ứng dụng VNeTraffic với các bước thực hiện như sau:
Bước 1: Tải ứng dụng VNeTraffic trên điện thoại thông qua App Store hoặc CH Play.
Bước 2: Đăng nhập tài khoản.
Nếu chưa có tài khoản, hãy đăng ký tài khoản theo các bước sau:
Chọn “Đăng ký”, sau đó quét mã QR ở góc trên bên phải trên thẻ CCCD.
Kiểm tra lại thông tin, nhập số điện thoại rồi bấm “Xác nhận”.
Nhập mã OTP được gửi về điện thoại và thiết lập mật khẩu đăng nhập.
Bước 3: Chọn mục “Tra cứu vi phạm” để kiểm tra phạt nguội xe máy, ô tô.
Bước 4: Nhập biển số xe cần tra cứu và nhấn “Kiểm tra” để hệ thống hiển thị kết quả.
Nguồn: Đời sống & Pháp luật





